Blog

T-Challenge 2024

Rockfish Data is honored to receive 3rd prize in the 2024 T Challenge AI for Telecommunications 
organized by T-Mobile and Deutsche Telekom's research and development unit

T-Challenge 2024

Rockfish Data is honored to receive 3rd prize in the 2024 T Challenge AI for Telecommunications 
organized by T-Mobile and Deutsche Telekom's research and development unit

T-Challenge 2024

Rockfish Data is honored to receive 3rd prize in the 2024 T Challenge AI for Telecommunications 
organized by T-Mobile and Deutsche Telekom's research and development unit

T-Challenge 2024

Rockfish Data is honored to receive 3rd prize in the 2024 T Challenge AI for Telecommunications 
organized by T-Mobile and Deutsche Telekom's research and development unit

T-Challenge 2024

Rockfish Data is honored to receive 3rd prize in the 2024 T Challenge AI for Telecommunications 
organized by T-Mobile and Deutsche Telekom's research and development unit

T-Challenge 2024

Rockfish Data is honored to receive 3rd prize in the 2024 T Challenge AI for Telecommunications 
organized by T-Mobile and Deutsche Telekom's research and development unit

Synthetic Data

Least Privilege Meets Information Theory via Generative AI

Today, there are two conflicting views on the nature of data. The first camp believes that data is the “new oil”, as evidenced by a recent Economist article. The position here is that we live in a data driven economy and data is ......

Why Schema-Driven Generation Changes Everything

Across teams and industries, data availability has quietly become one of the biggest bottlenecks to AI innovation.Teams want to prototype faster, test earlier, and validate ideas before production systems are live — including increasingly complex AI-driven and agent-based systems, where behavior must be validated against realistic data flows, tool outputs, and edge cases. Instead, teams are blocked by one fundamental constraint: usable data doesn’t exist yet, or it exists but can’t be shared.

T-Challenge 2024

Rockfish Data is honored to receive 3rd prize in the 2024 T Challenge AI for Telecommunications 
organized by T-Mobile and Deutsche Telekom's research and development unit

T-Challenge 2024

Rockfish Data is honored to receive 3rd prize in the 2024 T Challenge AI for Telecommunications 
organized by T-Mobile and Deutsche Telekom's research and development unit

T-Challenge 2024

Rockfish Data is honored to receive 3rd prize in the 2024 T Challenge AI for Telecommunications 
organized by T-Mobile and Deutsche Telekom's research and development unit

T-Challenge 2024

Rockfish Data is honored to receive 3rd prize in the 2024 T Challenge AI for Telecommunications 
organized by T-Mobile and Deutsche Telekom's research and development unit

T-Challenge 2024

Rockfish Data is honored to receive 3rd prize in the 2024 T Challenge AI for Telecommunications 
organized by T-Mobile and Deutsche Telekom's research and development unit

T-Challenge 2024

Rockfish Data is honored to receive 3rd prize in the 2024 T Challenge AI for Telecommunications 
organized by T-Mobile and Deutsche Telekom's research and development unit

Synthetic Data

Least Privilege Meets Information Theory via Generative AI

Today, there are two conflicting views on the nature of data. The first camp believes that data is the “new oil”, as evidenced by a recent Economist article. The position here is that we live in a data driven economy and data is ......

Synthetic Data in Cybersecurity: Closing the Data Gap in Training and Detection

Earlier this month, we hosted a webinar in collaboration with Carahsoft and Cympire.

The session brought together a diverse audience — public-sector practitioners, civilian and defense agency teams...

T-Challenge 2024

Rockfish Data is honored to receive 3rd prize in the 2024 T Challenge AI for Telecommunications 
organized by T-Mobile and Deutsche Telekom's research and development unit

T-Challenge 2024

Rockfish Data is honored to receive 3rd prize in the 2024 T Challenge AI for Telecommunications 
organized by T-Mobile and Deutsche Telekom's research and development unit

T-Challenge 2024

Rockfish Data is honored to receive 3rd prize in the 2024 T Challenge AI for Telecommunications 
organized by T-Mobile and Deutsche Telekom's research and development unit

T-Challenge 2024

Rockfish Data is honored to receive 3rd prize in the 2024 T Challenge AI for Telecommunications 
organized by T-Mobile and Deutsche Telekom's research and development unit

T-Challenge 2024

Rockfish Data is honored to receive 3rd prize in the 2024 T Challenge AI for Telecommunications 
organized by T-Mobile and Deutsche Telekom's research and development unit

T-Challenge 2024

Rockfish Data is honored to receive 3rd prize in the 2024 T Challenge AI for Telecommunications 
organized by T-Mobile and Deutsche Telekom's research and development unit

Synthetic Data

Least Privilege Meets Information Theory via Generative AI

Today, there are two conflicting views on the nature of data. The first camp believes that data is the “new oil”, as evidenced by a recent Economist article. The position here is that we live in a data driven economy and data is ......

Synthetic Data

Least Privilege Meets Information Theory via Generative AI

Today, there are two conflicting views on the nature of data. The first camp believes that data is the “new oil”, as evidenced by a recent Economist article. The position here is that we live in a data driven economy and data is ......

T-Challenge 2024

Rockfish Data is honored to receive 3rd prize in the 2024 T Challenge AI for Telecommunications 
organized by T-Mobile and Deutsche Telekom's research and development unit

T-Challenge 2024

Rockfish Data is honored to receive 3rd prize in the 2024 T Challenge AI for Telecommunications 
organized by T-Mobile and Deutsche Telekom's research and development unit

T-Challenge 2024

Rockfish Data is honored to receive 3rd prize in the 2024 T Challenge AI for Telecommunications 
organized by T-Mobile and Deutsche Telekom's research and development unit

T-Challenge 2024

Rockfish Data is honored to receive 3rd prize in the 2024 T Challenge AI for Telecommunications 
organized by T-Mobile and Deutsche Telekom's research and development unit

T-Challenge 2024

Rockfish Data is honored to receive 3rd prize in the 2024 T Challenge AI for Telecommunications 
organized by T-Mobile and Deutsche Telekom's research and development unit

T-Challenge 2024

Rockfish Data is honored to receive 3rd prize in the 2024 T Challenge AI for Telecommunications 
organized by T-Mobile and Deutsche Telekom's research and development unit

We’ve Heard of Synthetic Data — Now What?

From Buzzword to business tool

When I reflect on customer conversations over the past year, the change is clear. We used to spend most of our time explaining what synthetic data is—curiosity, skepticism, confusion were common. Today, most ...........

We’ve Heard of Synthetic Data — Now What?

From Buzzword to business tool

When I reflect on customer conversations over the past year, the change is clear. We used to spend most of our time explaining what synthetic data is—curiosity, skepticism, confusion were common. Today, most ...........

We’ve Heard of Synthetic Data — Now What?

From Buzzword to business tool

When I reflect on customer conversations over the past year, the change is clear. We used to spend most of our time explaining what synthetic data is—curiosity, skepticism, confusion were common. Today, most ...........

T-Challenge 2024

Rockfish Data is honored to receive 3rd prize in the 2024 T Challenge AI for Telecommunications 
organized by T-Mobile and Deutsche Telekom's research and development unit

T-Challenge 2024

Rockfish Data is honored to receive 3rd prize in the 2024 T Challenge AI for Telecommunications 
organized by T-Mobile and Deutsche Telekom's research and development unit

T-Challenge 2024

Rockfish Data is honored to receive 3rd prize in the 2024 T Challenge AI for Telecommunications 
organized by T-Mobile and Deutsche Telekom's research and development unit

T-Challenge 2024

Rockfish Data is honored to receive 3rd prize in the 2024 T Challenge AI for Telecommunications 
organized by T-Mobile and Deutsche Telekom's research and development unit

T-Challenge 2024

Rockfish Data is honored to receive 3rd prize in the 2024 T Challenge AI for Telecommunications 
organized by T-Mobile and Deutsche Telekom's research and development unit

T-Challenge 2024

Rockfish Data is honored to receive 3rd prize in the 2024 T Challenge AI for Telecommunications 
organized by T-Mobile and Deutsche Telekom's research and development unit

We’ve Heard of Synthetic Data — Now What?

From Buzzword to business tool

When I reflect on customer conversations over the past year, the change is clear. We used to spend most of our time explaining what synthetic data is—curiosity, skepticism, confusion were common. Today, most ...........

We’ve Heard of Synthetic Data — Now What?

From Buzzword to business tool

When I reflect on customer conversations over the past year, the change is clear. We used to spend most of our time explaining what synthetic data is—curiosity, skepticism, confusion were common. Today, most ...........

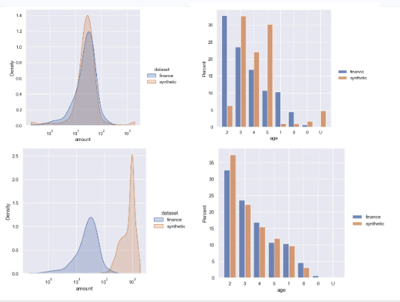
Understanding Synthetic Data Quality: A Beginner’s Guide to Univariate Metrics

Why Should You Care About Synthetic Data Quality?

Imagine you’re training a new employee using a manual that’s been translated from another language. If the translation is poor, your